By Joel Abbott
A part of me has to admire the fiendish persistence and patience of the commies seeking to overthrow liberty. They’ve been pushing for decades toward a common goal, and the fruit of their poisonous effort has now infiltrated every major institution in the United States in addition to our local churches and schools.
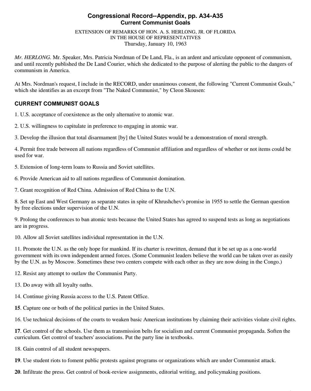
This 1963 Congressional report on the goals of the Communist Party in the U.S. shows how tenacious they have been in world-shaping. You may find yourself shocked to see how long they’ve had the goals that are now changing America:


Isn’t that unreal? Let’s talk about a few of their goals that have overwhelmingly been achieved.
“Provide American aid to all nations regardless of Communist domination.”
Kinda makes sense why we’re giving billions of dollars to places like Iran, which have been allied with Marxists along a common cause. If you’ve ever wondered why your tax dollars are being spent around the world in countries that hate you, this is why.
Promote the U.N. as the only hope for mankind. If its charter is rewritten, demand that it be set up as a one-world government with its own independent armed forces.
The Left was super annoyed at Trump standing up to globalist interests, and they are very interested in promoting global “cooperation.” Your conspiracy theorist uncle who talks about the New World Order isn’t as much of a conspiracy theorist as you’d like to believe.
Capture one or both of both political parties in the United States.
Democratic Party? Check! The GOP? Just get them to agree by calling them racists!
Use technical decisions of the courts to weaken basic American institutions by claiming their activities violate civil rights.
Do I NEED to explain how this has been playing out recently?
Get control of the schools. Use them as transmission belts for socialism and current Communist propaganda. Soften the curriculum. Get control of teachers’ associations. Put the party line in textbooks.
They sure are fighting hard to defend Critical Race Theory in your kid’s school, aren’t they??
Use student riots to foment public protests against programs or organizations which are under Communist attack.
You probably can’t think of a single time that this has happened in the last few years.
Infiltrate the press. Get control of book-review assignments, editorial writing, and policymaking positions.
Have you watched CNN, NBC, CBS, ABC, or MSNBC? Have you read The New York Times, The Washington Post, or about a thousand other newspapers/outlets?
Gain control of key positions in radio, TV, and motion pictures.

Continue discrediting American culture by degrading all forms of artistic expression. And American Communist cell was told to “eliminate all good sculpture from parks and buildings, substitute shapeless, awkward, and meaningless forms.”
Down with the historic buildings and George Washington statues, in with the concrete office building and a mural of St. George Floyd!
Eliminate all laws governing obscenity by calling them “censorship” and a violation of free speech.
Ironically, decades after winning this cause, lefties are trying to defend the use of obscenity while calling your opinions “hate speech.”
Break down cultural standards of morality by promoting pornography and obscenity in books, magazines, motion pictures, radio, and TV.
Yikes.
Present homosexuality, degeneracy, and promiscuity as “normal, natural, and healthy”
Current status? Kermit the frog holding a “Pride Spectacular” with a drag queen on Disney Plus.
Disney’s LGBT musical event hosted by a drag queen and Kermit the Frog was weirder than we could’ve even imagined https://t.co/ESDxrUCtct
— Not the Bee (@Not_the_Bee) June 29, 2021
Infiltrate the churches and replace religion with “social” religion.
Is it starting to make sense why your pastor and small group leader are teaching Social Justice and Critical Race Theory these days? Go buy a copy of “Fault Lines” by Voddie Baucham and go smack your woke pastor over the head with it.
Discredit the American Constitution by calling it inadequate, old-fashioned, out of step with modern needs.
This didn’t work, but calling the Constitution a byproduct of systemic racism designed by whiteness IS working.
Discredit the American Founding Fathers. Present them as selfish aristocrats who had no concern for the “common man.”
Since liberty was too busy making people rich across the nation, the attack angle of presenting the Founding Fathers as wealthy jerks didn’t work. Decrying them as virulent racists is currently working.
Belittle all forms of American culture and discourage the teaching of American history on the ground that it was only a minor part of the “big picture.”
Once again, reframing American history to promote mother Russia didn’t work.
Reframing American history to erase 1776 in favor of 1619 did.

Infiltrate and gain control of more unions… of big business.
The latter goal has been increasingly achieved as more large corporations have gone woke, catering to the LGBT lobby, telling employees to “be less white,” calling voter integrity laws racist, and cozying up to communist China.
Transfer some of the powers of arrest from the police to social agencies.
Remember how you were told that social workers would do the jobs of defunded police department? Is that making sense now?
Discredit the family as an institution.
Considering our high rates of divorce, low rates of marriage, high rates of fatherlessness and kids being born out of wedlock, and acceptance of things like polyamory, I’d say this was a rousing success.
Create the impression that violence and insurrection are legitimate aspects of the American tradition. That students and special-interest groups should rise up and use united force to solve economic, political, or social problems.
Are you wondering why the media and the Left (but I repeat myself) is silent on the continued BLM/Antifa violence but they characterize a bunch of bumbling rioters slowly shuffling through the Capitol as the WORST THING EVER?
Commies gonna commie. They’ve been passionately working toward their vision for the future for decades, and it’s paying off.
To beat their madness, the rest of us need a better vision and a better story.
Let’s get to work, America.




